simpleif's blog
時序:夏
March 10, 2011
意外的發現
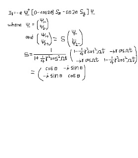
今天Prayer跟我要了之前碩士班研究的論文,意外發現了這個:
那時候我還不會用latex 所以我就用滑鼠在電腦上寫了要給老師看的式子再email給老師,真是懷念那一段日子呀,單純美好。心情激動的我立刻來寫了這篇網誌。
No comments:
Post a Comment
Newer Post
Older Post
Home
Subscribe to:
Post Comments (Atom)
No comments:
Post a Comment